BB电子·(china)有限公司官网
关于BB电子·(china)有限公司官网
BB电子·(china)有限公司官网简介
企业历程
员工运动
国资羁系
合规治理
新闻中心
集团动态
部分动态
子公司动态
党群建设
事情动态
身边模范
人才生长
人才战略
人才作育
招聘信息
任命公示
情形通告
招标采购
招采治理
集团生意信息
所属公司生意信息
信息果真
企业基本信息
企业谋划情形
重大人事事项
企业重大事项
其他果真事项
成员企业信息
品牌之窗
企业手刺
名优产品
特色优势
联系BB电子·(china)有限公司官网
省政府信息
企业邮箱
OA
关于BB电子·(china)有限公司官网
新闻中心
党群建设
人才生长
招标采购
信息果真
品牌之窗
联系BB电子·(china)有限公司官网
省政府信息
企业邮箱
OA
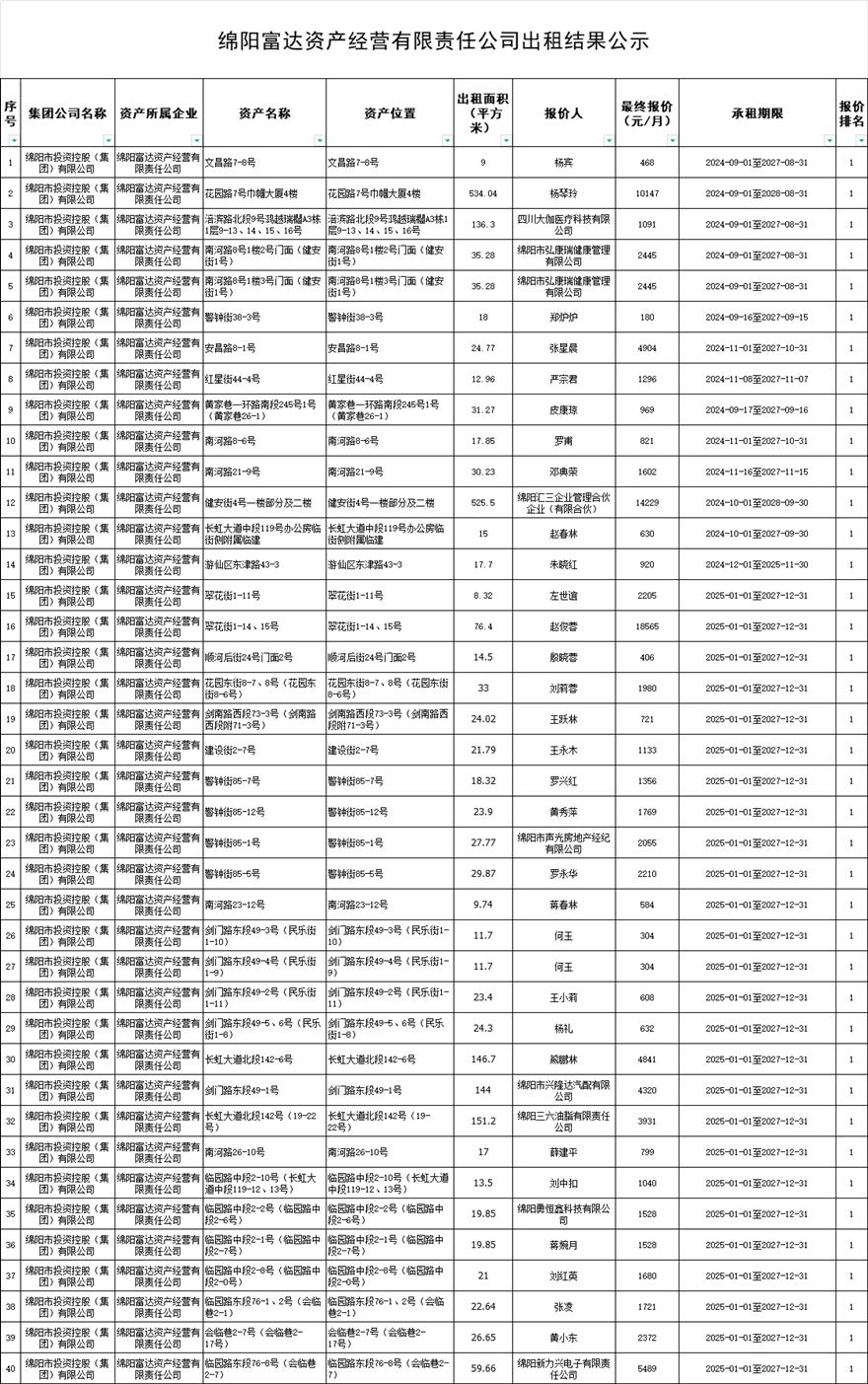
绵阳富达资产谋划有限责任公司出租效果公示
绵阳富达资产谋划有限责任公司出租效果公示
2024-12-30
上一条
返回列表
下一条
【网站地图】
【sitemap】